今日不读书,明日变蠢猪
04:38 · 2026年1月28日 · 周三
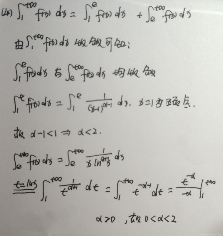
《2024年考研真题及答案》
本套真题及答案由专业团队深度解析,涵盖政治、英语、数学及专业课核心科目。答案精准,附有详细解题思路与考点剖析,帮助考生透彻理解命题趋势,高效复盘自身薄弱环节,为后续复试与备考指明方向。
#考研真题解析 #2024考研真题及答案 #研途必备
👇
评论区获取资源
Home
茉灵智库
防失联Ctrl+D收藏以下链接
点此查看更多🪄
|
公众号👋